«Θύελλα» αντιδράσεων έχει προκαλέσει με τις καταγγελίες περί κατάχρησης ευρωπαϊκών κονδυλίων, κατά του Φειδία Παναγιώτου, για ακίνητο που νοικιάζει στη Λεμεσό.
Οι δημόσιες δηλώσεις του ανεξάρτητου ευρωβουλευτή για το ενοίκιο των €2.300 -εκ των οποίων τα €1.600 καλύπτονται από το Ευρωπαϊκό Κοινοβούλιο- αφήνουν περισσότερα ερωτήματα παρά απαντήσεις.
Σύμφωνα με τους CyprusTimes, ο ίδιος ισχυρίστηκε ότι ζει αλλού, σε ακίνητο €1.200 με τη σύντροφό του. Ωστόσο, τα στοιχεία δείχνουν ότι το ζευγάρι διαμένει στο ακίνητο που παρουσιάζεται ως «γραφείο» και διαθέτει πισίνα.
Η Ευρωπαϊκή Εισαγγελία έχει ξεκινήσει έρευνα για κατάχρηση κονδυλίων από τον Φειδία Παναγιώτου, με τον Κύπριο ευρωβουλευτή να απορρίπτει τις καταγγελίες ότι χρησιμοποιεί το ακίνητο ως σπίτι, μέσω βίντεο.
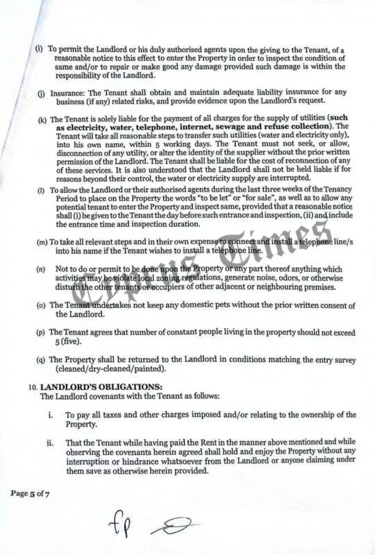
Όπως προκύπτει από το ενοικιαστήριο συμβόλαιο, που έφερε στο φως της δημοσιότητας η ιστοσελίδα cyprustimes, ο Κύπριος ευρωβουλευτής νοικιάζει το εν λόγω ακίνητο έναντι 2.300 ευρώ και υπάρχει όρος για «οικιακή χρήση», κάτι που διαψεύδει τον ισχυρισμό του Φειδία Παναγιώτου ότι το νοικιάζει ως πολιτικό γραφείο και μένει σε άλλο σπίτι με τη σύντροφό του.
Επιπλέον, το συμβόλαιο περιγράφει μία κατοικία επί της οδού Κύριλλου Λουκάρεως στα Κάτω Πολεμίδια, πλήρως επιπλωμένη, με τέσσερα υπνοδωμάτια, πισίνα και κήπο.
Εκτός από την πρόβλεψη που δεσμεύει τον ενοικιαστή να χρησιμοποιεί το ακίνητο μόνο ως κατοικία, υπάρχει αναφορά στην παράγραφο 9(b) ότι απαγορεύεται η χρήση του για επαγγελματικές δραστηριότητες.
Αυτό σημαίνει ότι αν όντως ο Φειδίας Παναγιώτου χρησιμοποιεί το ακίνητο ως πολιτικό γραφείο, τότε παραβιάζει το συμβόλαιο που έχει υπογράψει.
Άλλα στοιχεία που προκύπτουν από το ενοικιαστήριο συμβόλαιο που δημοσιοποιήθηκε είναι πώς υπάρχει ρήτρα σε περίπτωση καθυστέρησης στην καταβολή του ενοικίου.
Ειδικότερα, στην παράγραφο 5(iii) αναφέρεται ότι σε περίπτωση που υπάρξει καθυστέρηση άνω των 10 ημερών, τότε προβλέπεται πρόστιμο 100 ευρώ για κάθε μέρα καθυστέρησης.
Επιπλέον, στην παράγραφο 8(b) δίνεται το δικαίωμα στην ιδιοκτήτρια να τερματίσει μονομερώς τη συμφωνία με ειδοποίηση μόλις δύο μηνών χωρίς να απαιτείται αιτιολόγηση ή παραβίαση όρων από τον ενοικιαστή.
Cyprus Times: Το συμβόλαιο για το ακίνητο του Φειδία Παναγιώτου





